[Top Page]

e-learning 〜 第37回 食べ物と健康 Q2


×

1問中0問正解 (正答率0.0%) 72分18秒経過


A1 はずれ

正解は さばの普通筋は、酢じめすると白色になる。 でした。

【解説】【第37回(2023年)食べ物と健康 問題65】


第2問 278人中135人正解 (正答率48.5%)

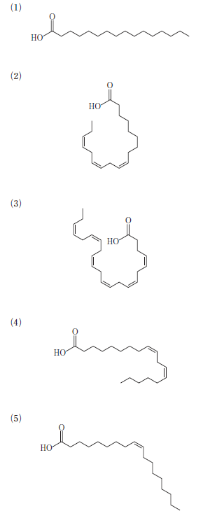
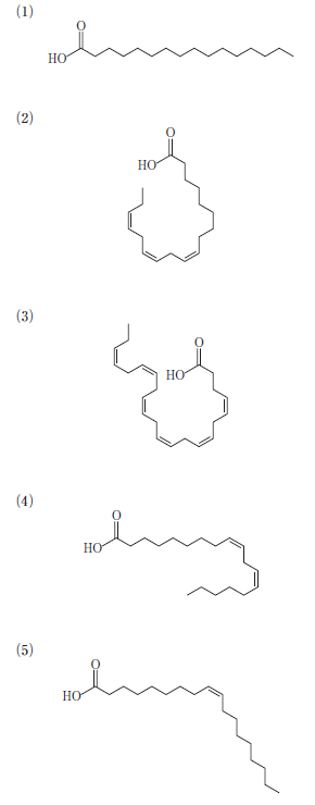
【問】主にまぐろや青魚から摂取されるn─3 系脂肪酸である。この脂肪酸の構造式として、最も適当なのはどれか。1 つ選べ。

[画像へ]

  1. (3)

  2. (2)

  3. (5)

  4. (1)

  5. (4)